Contoh Minit Mesyuarat Program Kali Kedua

Minit Mesyuarat Panitia Matematik 2 2016 By Santha Flipsnack

Minit Mesyuarat Panitia Matematik 2 2016 By Santha Flipsnack

Minit Mesyuarat Kokurikulum Kali Ke 4 2018 By Asif5115 Flipsnack

Minit Mesyuarat Kokurikulum Kali Ke 4 2018 By Asif5115 Flipsnack

Minit Mesyuarat Kurikulum Kali Kedua 2016

Minit Mesyuarat Kurikulum Kali Kedua 2016

Minit Mesyuarat Hem Kali Ke 1 2019 Pages 1 7 Text Version Anyflip

Minit Mesyuarat Hem Kali Ke 1 2019 Pages 1 7 Text Version Anyflip

Minit Mesyuarat Pertama Ajk Kebajikan Dan Keselamatan

Minit Mesyuarat Pertama Ajk Kebajikan Dan Keselamatan

Minit Mesyuarat Panitia 2017

Minit Mesyuarat Panitia 2017

Minit Mesyuarat Panitia 2017

Minit Mesyuarat Kokurikulum Kali Pertama 2019 Converted Pages 1 5 Text Version Anyflip

Minit Mesyuarat Kokurikulum Kali Pertama 2019 Converted Pages 1 5 Text Version Anyflip

Minit Mesyuarat Kali Pertama Kebersihan

Minit Mesyuarat Kali Pertama Kebersihan

Contoh Minit Mesyuarat Kelab Bimbingan Dan Kaunseling

Contoh Minit Mesyuarat Kelab Bimbingan Dan Kaunseling

Sukan Prestasi Tinggi Sekolah Memanah Nyong75 Wordpress Com2manual Latihan Memanahlatar Belakangmemanah Merupakan S Fails

Sukan Prestasi Tinggi Sekolah Memanah Nyong75 Wordpress Com2manual Latihan Memanahlatar Belakangmemanah Merupakan S Fails

Minit Mesyuaratpemulihan2017 Pertama

Minit Mesyuaratpemulihan2017 Pertama

Minit Rmt 2

Minit Rmt 2

Minit Mesyuarat Guru Kali Kedua Skfk2 Pages 1 7 Text Version Anyflip

Minit Mesyuarat Guru Kali Kedua Skfk2 Pages 1 7 Text Version Anyflip

Doc 46939128 Minit Mesy Bm Kali Ke 4 Sai Keet Seet Academia Edu

Doc 46939128 Minit Mesy Bm Kali Ke 4 Sai Keet Seet Academia Edu

Buletin Pss Skpk Contoh Pamplet Kem Membaca 1 Malaysia Malaysia School Pss

Buletin Pss Skpk Contoh Pamplet Kem Membaca 1 Malaysia Malaysia School Pss

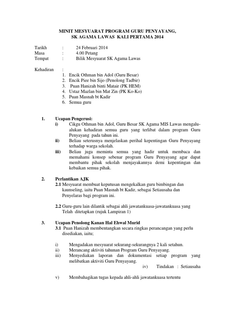
Minit Mesyuarat Guru Penyayang 1

Minit Mesyuarat Guru Penyayang 1

Contoh Minit Mesyuarat Mudah Dan Lengkap Jawatan Kosong

Contoh Minit Mesyuarat Mudah Dan Lengkap Jawatan Kosong

Contoh Minit Mesyuarat Panitia Bm Kali Pertama

Contoh Minit Mesyuarat Panitia Bm Kali Pertama

Safety Helath Committee Meeting Minutes 30 Jan 2020

Safety Helath Committee Meeting Minutes 30 Jan 2020

Minit Mesyuarat Guru Kali Ke 2 2016

Minit Mesyuarat Guru Kali Ke 2 2016

Pdf Minit Mesyuarat Kali Pertama Kebersihan Keceriaan Dan Keselamatan 3k Sekolah Kebangsaan Undang Johol 73100 Johol Norliza Esal Academia Edu

Pdf Minit Mesyuarat Kali Pertama Kebersihan Keceriaan Dan Keselamatan 3k Sekolah Kebangsaan Undang Johol 73100 Johol Norliza Esal Academia Edu

Minit Mesyuarat Kurikulum Kali 4 2019

Minit Mesyuarat Kurikulum Kali 4 2019

Minit Mesyuarat Hem Bil 2 2020 Pages 1 9 Text Version Anyflip

Minit Mesyuarat Hem Bil 2 2020 Pages 1 9 Text Version Anyflip

Minit Mesyuarat Denggi 2015

Minit Mesyuarat Denggi 2015

Https Encrypted Tbn0 Gstatic Com Images Q Tbn 3aand9gcrsmfs8uhgdr8aoqvicgq3lkuuv9cmjhjeydxsmjuwqgsqtjoua Usqp Cau

Https Encrypted Tbn0 Gstatic Com Images Q Tbn 3aand9gcrsmfs8uhgdr8aoqvicgq3lkuuv9cmjhjeydxsmjuwqgsqtjoua Usqp Cau

Doc Minit Mesyuarat Pendidikan Pencegahan Dadah Kali Pertama 2011 Sasi Theran Academia Edu

Doc Minit Mesyuarat Pendidikan Pencegahan Dadah Kali Pertama 2011 Sasi Theran Academia Edu

English Unit Meeting Minutes 1 2015

English Unit Meeting Minutes 1 2015

Contoh Minit Mesyuarat Kali 1 2 Dan 3

Contoh Minit Mesyuarat Kali 1 2 Dan 3

Blog Posts Goocomm

Blog Posts Goocomm

Liaguerhum

Liaguerhum

Source : pinterest.com